高分子化学研究室との共同研究の成果が海老井くんを筆頭著者としてMacromoleculesに掲載されました。 https://doi.org/10.1021/acs.macromol.5c03154.

高分子化学研究室との共同研究の成果が海老井くんを筆頭著者としてMacromoleculesに掲載されました。 https://doi.org/10.1021/acs.macromol.5c03154.

分子集積化学研究室の山本先生との共同研究がMacromolecular Rapid Communications (IF=4.3) に掲載されました。 https://onlinelibrary.wiley.com/doi/10.1002/marc.202500586.
高分子化学研究室との共同研究の成果が西村くんを筆頭著者としてMacromoleculesに掲載されました。 https://pubs.acs.org/doi/10.1021/acs.macromol.5c02976.

高分子化学研究室との共同研究の成果がD3の海老井くんを筆頭著者としてMacromolecules(IF=5.2)に掲載されました。 https://pubs.acs.org/doi/10.1021/acs.macromol.5c02410.

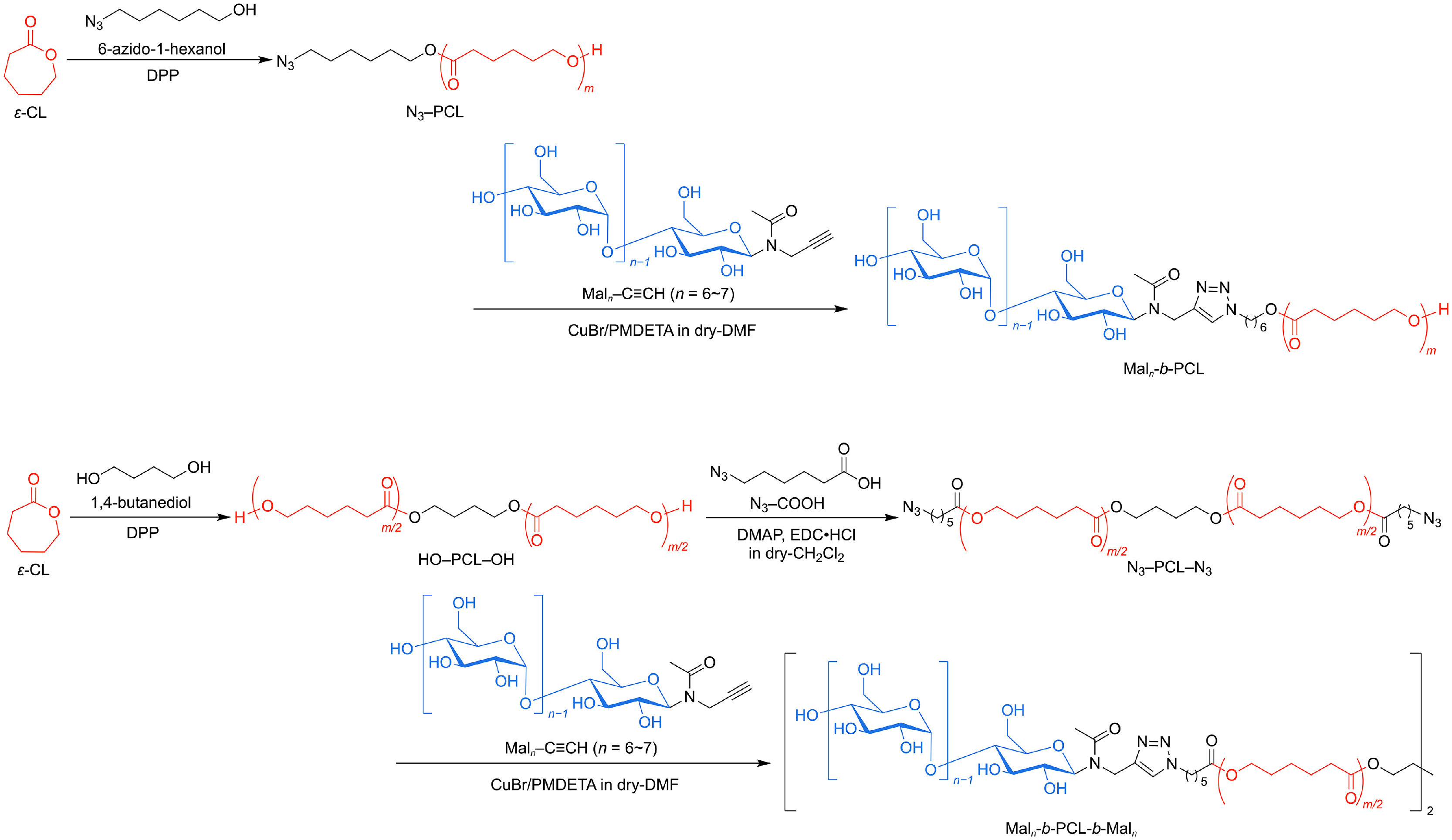
高分子化学研究室との共同研究の成果が、ポスドクのWeeさんを筆頭著者としてCarbohydrate Polymers(IF=12.5)に掲載されました。 https://www.sciencedirect.com/science/article/pii/S0144861725012925?via%3Dihub.

高分子化学研究室との共同研究の成果が、ポスドクのChaehunさんを筆頭著者としてCarbohydrate Polymers (IF=12.5)に掲載されました。 https://www.sciencedirect.com/science/article/pii/S014486172501272X?via%3Dihub.

高分子化学研究室との共同研究の成果がD1藤原さんを筆頭著者としてPolymer Degradation and Stability(IF=7.4)に掲載されました。 https://www.sciencedirect.com/science/article/pii/S0141391025004926?via%3Dihub.

高分子化学研究室との共同研究の成果がD3西村くんを筆頭著者としてMacromoleculesに掲載されました。 https://pubs.acs.org/doi/10.1021/acs.macromol.5c00761.

分子集積科学研究室の山本先生との共同研究の成果がLangmuir(IF=3.7)、Molecules(IF=4.2)に掲載されました。 https://pubs.acs.org/doi/10.1021/acs.langmuir.5c00930.
https://www.mdpi.com/1420-3049/30/12/2490.
米国Kean UniversityのBrian Ree先生との共同研究の成果がInternational Journal of Biological Macromoleculesに掲載されました! 小角X線散乱を用いたNFBCの解析において、3相楕円体コアシェル構造モデル(3PEC)に局所構造要素(いわゆる“ブロブ”)を組み合わせた新しいモデルを適用し、詳細な構造化世紀を行うことに成功しました。 これによりナノセルロースの繊維径だけでなく表面の分散剤の厚さや溶媒の厚さを評価できるようになりました。 これらの知見は今後の材料応用において有用な情報となります。 https://doi.org/10.1016/j.ijbiomac.2025.142658.

徳島大学石田先生、安藤先生との共同研究の成果がBiol. Pharm. Bull.に掲載されました! NFBCをベースとした新規の3D細胞培養システムであるOn Gel法とサスペンション法を開発しまた。 これらの方法はがん細胞だけでなく、ヒトiPS(人工多能性幹)細胞やヒトMSC(間葉系幹細胞)などの非がん細胞も適用可能であり、高い細胞生存率でスフェロイドを形成することが出来ます。 NFBCベースの3D細胞培養システムは、細胞由来の球状細胞培養の準備ツールとして、細胞の生物学的機能に関するin vitroおよびin vivo研究の両方の進展に大いに役立つことが期待されます。 https://doi.org/10.1248/bpb.b24-00804.

高分子化学研究室との共同研究の成果が、Weeranuchさん(ポスドク)、Chaehun (D3)、福嶋 くん(M1)を著者としてCarbohydrate Polymers (IF=10.7) に掲載されました! https://www.sciencedirect.com/science/article/pii/S0144861724014334?via%3Dihub.

高分子化学研究室との共同研究の成果が、西村くん(D3)、Chaehun(D3)、布川くん(M2)を著者としてMacromoleculesに掲載されました! 本研究では、オリゴジメチルシロキサンとマルトオリゴ糖からなる単分散ブロック共重合体を合成し、重合度に応じてドメインサイズが3.59〜4.99 nmの超微細ミクロ相分離構造の形成が確認されました。 このドメインサイズは報告されている糖鎖ブロック共重合体の中でも最小クラスのものとなります。 また、モノマー単位の調整によってドメインサイズを精密に制御できることが示されました。 https://pubs.acs.org/doi/10.1021/acs.macromol.4c02262.

高分子化学研究室との共同研究の成果が西村くんを筆答著者としてMacromolecules (IF=5.1) に掲載されました! オリゴジメチルシロキサンとマルトオリゴ糖からなる新規な不連続ブロック共重合体(BCP)の精密合成に成功しました。 重合度を調節するによって、3.59-4.99 nmのミクロ相分離ラメラ構造が発現しました。 本研究で得られた実験結果は、数ナノメートルの超微細ナノ構造形成のためのBCP設計の新しい原理を提供するものです。 https://doi.org/10.1021/acs.macromol.4c02262.

高分子化学研究室との共同研究の成果がWeeranuchさん(PD)を筆答著者としてCarbohydrate Polymers (IF=10.7) に掲載されました! 酵素合成した3つの新しいキメラ非還元イソマルトオリゴ糖はカプセル化し、芳香族プロドラッグであるスルファサラジンと複合体を形成することが確認されました。 この成果は、薬物送達システムにおける糖質ポリマーの潜在的可能性を示唆するものです。 https://doi.org/10.1016/j.carbpol.2024.122956.

2024年11月11日草野作工事業課長の芹沢さんと田島准教授が執筆した総説が、独立行政法人農畜産業振興機構が刊行する「月報 砂糖類・でん粉情報」に掲載されました。 微生物由来セルロースナノファイバーに関する情報がまとめられています。 https://www.alic.go.jp/joho-s/joho07_003229.html.

高分子化学研究室との共同研究の成果が、鈴木くん(D3)、布川くん(M2)、三輪くん(M1)を著者としてPolymersに掲載されました (IF=4.7)。 モノマーの組み合わせや開始剤を変更することで多様な構造を有するポリエステルを合成し、ポリマー構造と接着性能の相関を調査しました。 今後、セルフスイッチ重合による環境に配慮した高機能性材料開発の更なる発展が期待されます。 https://doi.org/10.3390/polym16192767.

M2金子瑛一郎の論文がInternational Journal of Biological Macromolecules(IF=7.7)に掲載されました。 微生物由来セルロースナノファイバー(NFBC)の長い繊維長とそれに基づく優れた粘弾性特性を活かすことで動物細胞の浮遊培養における剪断保護材(Shear protectant)としての利用の可能性が示されました。 今後動物細胞の大量培養技術への応用が期待されます。 https://doi.org/10.1016/j.ijbiomac.2024.135938.

卒業生辻崎晴人の論文がCarbohydrate Polymer Applications and Technologies(IF=6.2)に掲載されました。 微生物由来セルロースナノファイバー(NFBC)の詳細な構造・物性解析に関する論文で、長い繊維長、高アスペク比に起因する優れた機械的特性や低濃度におけるネットワーク形成能などが明らかとなりました。 今後これらの特長を活かした、NFBCの新たな用途開発につながることが期待されます。 https://doi.org/10.1016/j.carpta.2024.100565.

東京大学の五十嵐圭日子先生・砂川直輝先生、京都大学今井友也先生、コンフォーカルサイエンス田中昭子博士、田仲弘明博士との共同研究の成果がInternational Journal of Microgravity Science and Applicationに掲載されました。 バクテリアを用いた宇宙(微小重力空間)でのセルロース合成に成功しました。 将来的に宇宙でセルロースを合成するための基礎技術になります。 https://www.jstage.jst.go.jp/article/ijmsa/41/3/41_410302/_article.

D2Hamidahの論文がComposites PartA: Applied Science and Manufacturing(IF=8.1)に掲載されました。 ポリオブチレンサクシネート(PBS)と類似した交互共重合体をナノフィブリル化バクテリアセルロース(HP-NFBC)にグラフト化し、PBSとナノコンポジットを作製したところ、少量の添加でも物性を向上できることが分かりました。 また、このナノコンポジットはPBSと同等の生分解性を有していることが確認されました。 https://doi.org/10.1016/j.compositesa.2024.108341.

卒業生の久語博士の論文がPolymer Journal に掲載されました (IF=2.8)。 綿繊維を低濃度アルカリに浸し、液体窒素を用いて急速冷却することにより、外周部がセルロースⅡ型、中心部がセルロースⅠ型から成る複合繊維の調製に成功しました。 外周部がセルロースⅡ型になることで破断強度、靭性を増強することに成功しました。 これは簡便に優れた特性を有する新規セルロース繊維を調製する方法として期待されます。 https://doi.org/10.1038/s41428-024-00928-3.

高分子化学研究室との共同研究の成果が、太田(M2)、鈴木(D3)を筆答・第二著者としてMacromoleculesに掲載されました (IF=5.5)。 有機塩基触媒による環状酸無水物とオキセタンの開環交互共重合系を確立しました。 また、本重合系をセルフスイッチ重合へと適用することでブロック共重合体のワンポット・ワンステップ合成を達成しました。 https://doi.org/10.1021/acs.macromol.3c02483.

D3久語の論文がPolymer Journal に掲載されました (IF=2.8)。 希アルカリ後処理を複数回行うことで、セルロースⅡ型の結晶化度を20%程度向上させることに成功しました。 この方法を用いることにより、高結晶性のセルロースII 型を調製することが可能となり、高い機械的強度を有するセルロースII 型材料の開発につながることが期待されます https://www.nature.com/articles/s41428-024-00890-0.

高分子化学研究室との共同研究の成果が水上くんを 筆答著者として、ACS Macro Letters に掲載されました (IF=5.8)。 再生可能な資源として大量に存在するセルロースから誘導されるモノマーを用い、開環重合を行うことによって様々な構造の多糖を合成可能です。 また、解重合することによってケミカルリサイクルが可能であり、サーキュラーエコノミーへの貢献が期待されます。 https://doi.org/10.1021/acsmacrolett.3c00720.

D3久語の論文がCarbohydrate Polymers に掲載されました (IF=11.2)。 低温希アルカリ処理におけるセルロースI 型からII 型への結晶転移機構を明らかにすることに成功しました。 また、低温希アルカリ処理の処理条件を調整することで、結晶転移を制御できることが示唆され、この方法を用いることによるセルロースI 型およびII 型からなる新規セルロース材料の創製が期待されます。 https://doi.org/10.1016/j.carbpol.2024.121907.
Chaehun (D2) の研究成果が GIANT に掲載されました (IF=7)。 高分子化学研究室との共同研究の成果です。 様々な分子パラメータを有するバイオベースの糖鎖―テルペノイド複合材料を用いて三次元ネットワーク構造であるジャイロイドや穴あきラメラ構造の構築に成功しました。 特に、バルクおよび薄膜でも安定的に三次元ネットワーク構造を構築したことで本材料がナノテンプレートの製造に応用が期待されます。 https://doi.org/10.1016/j.giant.2023.100211.

高分子化学研究室との共同研究の成果が江部くんを筆頭著者として Angewandte Chemie に掲載されました。 本報告ではロタキサンの形で多環状高分子を取り込んだネットワークポリマーの合成に成功し、この巨大なロタキサンを「マクロロタキサン」と名付けました。 マクロロタキサンは環状高分子のリングの数や大きさを自在にアレンジできるため構造や分子設計に非常に大きな自由度があり、今後幅広い用途への応用が期待されます。 https://doi.org/10.1002/anie.202304493.
高分子化学研究室との共同研究の成果が海老井くんを筆答著者として、Polymer Chemistry に掲載されました(IF=5.364)。 環化重合により多環状ポリスチレンの系統的な合成に成功し、多環状構造が諸物性に与える影響を系統的に評価しました。 さらにポリスチレンセグメントを有する多環状コポリマーの合成にも成功しました。 https://pubs.rsc.org/en/content/articlelanding/2023/py/d3py00449j.

高分子化学研究室、東京大学五十嵐先生、砂川先生との共同研究の成果が勝原くんを筆答著者として、Carbohydrate Polymers に掲載されました (IF=10.723)。 様々な置換度のアセチルセルロースとポリデカノラクトンとのトリブロックコポリマー(AcCelx-b-PDL-b-AcCelx) における構造、物性を評価しました。 セルロースを含む新たな熱可塑性エラストマーとしての利用が期待されます。 https://www.sciencedirect.com/science/article/pii/S0144861723004411?via%3Dih.

高分子化学研究室との共同研究の成果が、磯野先生を筆頭著者としてBiomacromolecules(IF= 6.978)に掲載されました。 国立清華大学のChen先生とCERMAVのBorsali先生との国際共著でもあります。 マルトオリゴ糖とソラネソールからなる単分散ブロックコオリゴマーのミクロ相分離により、糖質ミクロドメインを有する様々なナノスケールのモルフォロジーを構築することに成功しました。 従来のLAM、HEX、BCCだけでなく、GYR、HPL、Fdddネットワーク形態を持つナノ材料へのアクセスが可能になりました。 "Tailored Solid-State Carbohydrate Nanostructures Based on Star-Shaped Discrete Block Co-Oligomers" https://pubs.acs.org/doi/10.1021/acs.biomac.2c00813.

高分子化学研究室との共同研究の成果が Polymer Chemistry に掲載されました(IF=5.364)。 ピバリン酸セシウムを触媒とした、エポキシドと無水トリメリット酸の開環交互共重合によるハイパーブランチポリエステル(HBPE)の新規合成法を開発しました。 無水物、エポキシドおよびアルコール開始剤を適切に選択することで、異なる骨格構造を持つ様々なHBPEを得ることができます。 その汎用性と簡便性より添加剤やバイオメディカルなど幅広い用途で利用できる可能性があります。 "Synthesis of Hyperbranched Polyester via Ring-opening Alternating Copolymerisation of Epoxide with Cyclic Anhydride having a Carboxyl Group" https://pubs.rsc.org/en/Content/ArticleLanding/2022/PY/D2PY00571A.

高分子化学研究室との共同研究の成果がMacromolecules に掲載されました (IF=6.057)。 アルカリ金属カルボン酸塩がエポキシドおよびエピスルフィドの開環重合にシンプルかつ効率的な触媒として使用でき,コントロール可能な分子量および低分散性を有するポリエーテルおよびポリチオエーテルを得ることができることを実証しました。 "Polyether/Polythioether Synthesis via Ring-Opening Polymerization of Epoxides and Episulfides Catalyzed by Alkali Metal Carboxylates" https://pubs.acs.org/doi/10.1021/acs.macromol.2c00656.

分子集積化学研究室の山本先生との共同研究の成果が Polymers に掲載されました (IF=4.967)。 環状ポリマーが直鎖状ポリマーに比べてAgNPsに優れた安定性を付与していることを明確にしました。 また、環状ポリエチレングリコールの使用によりコロイド安定性が向上したことで、高い耐塩性を利用した生体系への応用が可能になりました。 "Size Control and Enhanced Stability of Silver Nanoparticles by Cyclic Poly(Ethylene Glycol)" https://www.mdpi.com/2073-4360/14/21/4535.

分子集積化学研究室の山本先生との共同研究の成果が Polymers に掲載されました (IF=4.967)。 (3-ヘキシルチオフェン)を合成し,その環状トポロジーに起因する酸化還元挙動を調査しました。 "Molecular Weight-Dependent Oxidation and Optoelectronic Properties of Defect-Free Macrocyclic Poly(3-hexylthiophene)" https://www.mdpi.com/2073-4360/15/3/666.

苫小牧高専甲野先生との共同研究の成果が ACS Applied Nano Materials に掲載されました (IF=6.140)。 4級アンモニウム塩のNFBCへの導入によるカチオン化により、抗菌性材料、ナノフィラー、凝集剤としての利用が可能となりました。 https://doi.org/10.1021/acsanm.3c00616.

Taiki Nishimura, Satoshi Katsuhara, Chaehun Lee, Brian J. Ree, Redouane Borsali, Takuya Yamamoto, Kenji Tajima, Toshifumi Satoh, and Takuya Isono, Fabrication of Ultrafine, Highly Ordered Nanostructures Using Carbohydrate-Inorganic Hybrid Block Copolymers, Nanomaterials 2022, 12, 1653, DOI: 10.3390/nano12101653.

Hamidah binti Hashim, Nur Aisyah Adlin binti Emran, Takuya Isono, Satoshi Katsuhara, Hiroko Ninoyu, Tokuo Matsushima, Takuya Yamamoto, Redouane Borsali, Toshifumi Satoh, Kenji Tajima, Improving the mechanical properties of polycaprolactone using functionalized nanofibrillated bacterial cellulose with high dispersibility and long fiber length as a reinforcement material, Composites Part A 2022, 158, 106978, DOI: 10.1016/j.compositesa.2022.106978.

Tomohisa Watanabe, Yubo Wang, Tomoko Ono, Satoru Chimura, Takuya Isono, Kenji Tajima, Toshifumi Satoh, Shin-ichiro Sato, Daichi Ida and Takuya Yamamoto, Topology and Sequence-Dependent Micellization and Phase Separation of Pluronic L35, L64, 10R5, and 17R4: Effects of Cyclization and the Chain Ends, Polymer, 2022, 14, 1823, DOI: 10.3390/polym14091823.

Ryo Takahama, Honami Kato, Go Takayama, Kenji Tajima and Tetsuo Kondo, Physical characteristics and cell-adhesive properties of in vivo fabricated bacterial cellulose/hyaluronan nanocomposites, Cellulose, 2022, DOI: 10.1007/s10570-022-04480-2.

Satoshi Katsuhara, Yasuko Takagi, Naoki Sunagawa, Kiyohiko Igarashi, Takuya Yamamoto, Kenji Tajima, Takuya Isono, and Toshifumi Satoh, セロオリゴ糖誘導体をハードセグメントとするバイオベースエラストマーの開発, Cellulose Commun., 2021, 28, 140-148.

Takaaki Fujiwara, Ayumi Fujishima, Yui Nakamura, Kenji Tajima, and Min Yao, Structural snapshot of a glycoside hydrolase family 8 endo-β-1,4-glucanase capturing the state after cleavage of the scissile bond, Acta Cryst. 2022, D78, 228-237, DOI: doi.org/10.1107/s2059798321012882.

Hiroyuki Kono, Haruto Tsujisaki, and Kenji Tajima, Reinforcing Poly(methyl methacrylate) with Bacterial Cellulose Nanofibers Chemically Modified with Methacryolyl Groups, Nanomaterials, 2022, 12, 537, DOI: doi.org/10.3390/nano12030537.

Onyinyechukwu Justina Oziri, Masatoshi Maeki, Manabu Tokeshi, Takuya Isono, Kenji Tajima, Toshifumi Satoh, Shin-ichiro Sato, Takuya Yamamoto, Topology-Dependent Interaction of Cyclic Poly(ethylene glycol) Complexed with Gold Nanoparticles against Bovine Serum Albumin for a Colorimetric Change, Langmuir 2021, ASAP, DOI: doi.org/10.1021/acs.langmuir.1c03027.

Hiroyuki Kono, Eiki Tsukamoto, Kenji Tajima, Facile Post-Carboxymethylation of Cellulose Nanofiber Surfaces for Enhanced Water Dispersibility, ACS Omega 2021, 6, 34107-34114, DOI: doi.org/10.1021/acsomega.1c05603.

Saburo Kobayashi, Mayoh Ashiya, Takuya Yamamoto, Kenji Tajima, Yasunori Yamamoto, Takuya Isono, Toshifumi Satoh, Suzuki–Miyaura Catalyst-Transfer Polycondensation of Triolborate-Type Carbazole Monomers, Polymers, 2021, 13, 4168, DOI: doi.org/10.3390/polym13234168.

Oziri Onyinyechukwu J., Yubo Wang, Tomohisa Watanabe, Shuya Uno, Masatoshi Maeki, Manabu Tokeshi, Takuya Isono, Kenji Tajima, Toshifumi Satoh, Shin-ichiro, Sato, Yutaka Miura, and Takuya Yamamoto, PEGylation of Silver Nanoparticles by Physisorption of Cyclic Poly(Ethylene Glycol) for Enhanced Dispersion Stability, Antimicrobial Activity, and Cytotoxicity, Nanoscale Adv., 2022, 4, 532-545, DOI: 10.1039/D1NA00720C.

Ryo Takahama, Honami Kato, Kenji Tajima, Satomi Tagawa, and Tetsuo Kondo, Biofabrication of a Hyaluronan/Bacterial Cellulose Composite Nanofibril by Secretion from Engineered Gluconacetobacter, Biomacromolecules, 2021, 22, 4709-4719, DOI: 10.1021/acs.biomac.1c00987.

Kenji Tajima, Tomoya Imai, Toshifumi Yui, Min Yao, Inder Saxena, Cellulose-synthesizing machinery in bacteria, Cellulose, 2021, DOI: 10.1007/s10570-021-04225-7.

Yoshinobu Mato, Maho Sudo, Hironori Marubayashi, Takuya Yamamoto, Kenji Tajima, Hiroshi Jinnai, Takuya Isono, Toshifumi Satoh, Densely Arrayed Cage-Shaped Polymer Topologies Synthesized via Cyclopolymerization of Star-Shaped Macromonomers, Macromolecules, 2021, 54, 9079-9090, DOI: 10.1021/acs.macromol.1c01230.

Satoshi Katsuhara, Yasuko Takagi, Naoki Sunagawa, Kiyohiko Igarashi, Takuya Yamamoto, Kenji Tajima, Takuya Isono, Toshifumi Satoh, Enhanced Self-Assembly and Mechanical Properties of Cellulose-Based Triblock Copolymers: Comparisons with Amylose-Based Triblock Copolymers, ACS Sustainable Chem. Eng., 2021, 9, 9779-9788, DOI: doi.org/10.1021/acssuschemeng.1c02180.


Hidenori Ando, Takashi Mochizuki, Amr S. Abu Lila, Shunsuke Akagi, Kenji Tajima, Kenji Fujita, Taro Shimizu, Yu Ishima, Tokuo Matsushima, Takatomo Kusano, Tatsuhiro Ishida, Doxorubicin Embedded into Nanofibrillated Bacterial Cellulose (NFBC) Produces a Promising Therapeutic Outcome for Peritoneally Metastatic Gastric Cancer in Mice Models via Intraperitoneal Direct Injection, Nanomaterials, 2021, 11, 1697, DOI: doi.org/10.3390/nano11071697.

Kodai Watanabe, Noya Kaizawa, Brian J. Ree, Takuya Yamamoto, Kenji Tajima, Takuya Isono, and Toshifumi Satoh, One-Shot Intrablock Crosslinking of Linear Diblock Copolymer to Realize Janus-shaped Single-Chain Nanoparticle, Angew. Chem. Int. Ed., 2021, 60, 2-9, DOI: 10.1002/anie.202103969.

Shunsuke Akagi, Hidenori Ando, Kenji Fujita, Taro Shimizu, Yu Ishima, Kenji Tajima, Tokuo Matsushima, Takatomo Kusano, Tatsuhiro Ishida, Therapeutic efficacy of a paclitaxel-loaded nanofibrillated bacterial cellulose (PTX/NFBC) formulation in a peritoneally disseminated gastric cancer xenograft model, International Journal of Biological Macromolecules 2021, 174, 494-501 DOI: 10.1016/j.ijbiomac.2021.01.201.

Takuya Uto, Yuki Ikeda, Naoki Sunagawa, Kenji Tajima, Min Yao, Toshifumi Yui Molecular Dynamics Simulation of Cellulose Synthase Subunit D Octamer with Cellulose Chains from Acetic Acid Bacteria: Insight into Dynamic Behaviors and Thermodynamics on Substrate Recognition, J. Chem. Theory Comput. 2021, 17, 488-496 DOI: 10.1021/acs.jctc.0c01027.

Li-Che Hsu, Takuya Isono, Yan-Cheng Lin, Saburo Kobayashi, Yun-Chi Chiang, Dai-Hua Jiang, Chih-Chien Hung, Ender Ercan, Wei-Chen Yang, Hui-Ching Hsieh, Kenji Tajima, Toshifumi Satoh, Wen-Chang Chen Stretchable OFET Memories: Tuning the Morphology and the Charge-Trapping Ability of Conjugated Block Copolymers through Soft Segment Branching, ACS Appl. Mater. Interfaces, 2021, 13, 2932-2943, DOI: 10.1021/acsami.0c18820.

Yubo Wang, Jose Enrico Q. Quinsaat, Tomoko Ono, Masatoshi Maeki, Manabu Tokeshi, Takuya Isono, Kenji Tajima, Toshifumi Satoh, Shin-ichiro Sato, Yutaka Miura, Takuya Yamamoto Enhanced dispersion stability of gold nanoparticles by the physisorption of cyclic poly(ethylene glycol), Nature Communications, 2020, 11, 6089, DOI: 10.1038/s41467-020-19947-8.
Hiroyuki Kono, Taiki Uno, Haruto Tsujisaki, Tokuo Matsushima, and Kenji Tajima Nanofibrillated Bacterial Cellulose Modified with (3-Aminopropyl)trimethoxysilane under Aqueous Conditions: Applications to Poly(methyl methacrylate) Fiber-Reinforced Nanocomposites, ACS OMEGA, 2020, 5, 29561-29569, DOI: 10.1021/acsomega.0c04533.

Saburo Kobayashi, Kaiyu Fujiwara, Dai-Hua Jiang, Takuya Yamamoto, Kenji Tajima, Yasunori Yamamoto, Takuya Isono, Toshifumi Satoh Suzuki–Miyaura Catalyst-Transfer Polycondensation of Triolborate-Type Fluorene Monomer: Toward Rapid Access to Polyfluorene-Containing Block and Graft Copolymers from Various Macroinitiators, Poly. Chem., 2020, 11, 6832-6839, DOI: 10.1039/D0PY01127D.

Takuya Isono, Ryoya Komaki, Chaehun Lee, Nao Kawakami, Brian J. Ree, Kodai Watanabe, Kohei Yoshida, Hiroaki Mamiya, Takuya Yamamoto, Redouane Borsali, Kenji Tajima, Toshifumi Satoh Rapid access to discrete and monodisperse block co-oligomers from sugar and terpenoid toward ultrasmall periodic nanostructures, Communications Chem., 2020, 3, 135, DOI: 10.1038/s42004-020-00385-y.

Kaoru Takojima, Hiroshi Makino. Tatsuya Saito, Takuya Yamamoto, Kenji Tajima, Takuya Isono, Toshifumi Satoh Organocatalytic Ring-opening Polymerization Approach to Highly Alternating Copolymers of Lactic Acid and Glycolic Acid, Poly. Chem., 2020, 11, 6365-6373, DOI: 10.1039/D0PY01082K.

Hiroyuki Kono, Taiki Uno, Haruto Tsujisaki, Hikaru Anai, Ryota Kishimoto, Tokuo Matsushima, Kenji Tajima Nanofibrillated Bacterial Cellulose Surface Modified with Methyltrimethoxysilane for Fiber-Reinforced Composites, ACS applied nano materials. 2020, 3, 8, 8232–8241, DOI: 10.1021/acsanm.0c01670.

Yoshinobu Mato, Kohei Honda, Brian J. Ree, Kenji Tajima, Takuya Yamamoto, Tetsuo Deguchi, Takuya Isono, Toshifumi Satoh Programmed folding into spiro-multicyclic polymer topologies from linear and star-shaped chains, Communications Chem. 2020, 3, 97 DOI: 10.1038/s42004-020-00355-4.

Kodai Watanabe, Satoshi Katsuhara, Hiroaki Mamiya, Yukihiko Kawamura, Takuya Yamamoto, Kenji Tajima, Takuya Isono, Toshifumi Satoh Highly Asymmetric Lamellar Nanostructures from Nanoparticle−Linear Hybrid Block Copolymers, Nanoscale 2020, 12, 16526-16534 DOI: 10.1039/D0NR05209D.

Takuya Isono, Saki Nakahira, Hui-Ching Hsieh, Satoshi Katsuhara, Hiroaki Mamiya, Takuya Yamamoto, Wen-Chang Chen, Redouane Borsali, Kenji Tajima, Toshifumi Satoh Carbohydrates as Hard Segments for Sustainable Elastomers: Carbohydrates Direct the Self-Assembly and Mechanical Properties of Fully Bio-Based Block Copolymers, Macromolecules 2020, 53, 5408-5417, DOI: 10.1021/acs.macromol.0c00611.


Muhammad Mumtaz, Yasuko Takagi, Hiroaki Mamiya, Kenji Tajima, Cécile Bouilhac, Takuya Isono, Toshifumi Satoh, Redouane Borsali Sweet Pluronic poly(propylene oxide)-b-oligosaccharide block copolymer systems: Toward sub-4 nm thin-film nanopattern resolution, European Polymer Journal 2020, 134, 109831, DOI: 10.1016/j.eurpolymj.2020.109831.

Satoshi Katsuhara, Hiroaki Mamiya, Takuya Yamamoto, Kenji Tajima, Takuya Isono, Toshifumi Satoh Metallopolymer-block-oligosaccharide for sub10 nm microphase separation, Polymer Chemistry 2020, 17, DOI: 10.1039/d0py00271b.
K. Tajima, K. Tahara, J. Ohba, R. Kusumoto, R. Kose, H. Kono, T. Matsushima, K. Fushimi, T. Isono, T. Yamamoto, T. Satoh Detailed Structural Analyses of Nanofibrillated Bacterial Cellulose and Its Application as Binder Material for a Display Device, Biomacromolecules 2020, 21, 2, 581-588, DOI: 10.1021/acs.biomac.9b0132.

Takojima, K., Saito, T., Vevert, C., Ladelta, V., Bilalis, P., Watanabe, J., Hatanaka, S., Konno, T., Yamamoto, T., Tajima, K., Hadjichristidis, N., Isono, T., Satoh, T. Facile synthesis of poly(trimethylene carbonate) by alkali metal carboxylate-catalyzed ring-opening polymerization, Polymer Journal, 52, 103-110(2020), DOI: 10.1038/s41428-019-0264-6.

Kohei Yoshida, Takuya Yamamoto, Kenji Tajima, Takuya Isono, and Toshifumi Satoh Installing a functional group into the inactive ω-chain end of PMMA and PS-b-PMMA by terminal-selective transesterification, Polym. Chem. 2019, 10, 3390-3398, DOI: 10.1039/C9PY00315K.

Tatsuya Saito, Kaoru Takojima, Takafumi Oyama, Shintaro Hatanaka, Takashi Konno, Takuya Yamamoto, Kenji Tajima, Takuya Isono, and Toshifumi Satoh Trimethyl Glycine as an Environmentally-Benign and Biocompatible Organocatalyst for Ring-Opening Polymerization of Cyclic Carbonate, ACS Sustainable Chem. Eng. 2019, 7, 8868-8875, DOI: 10.1021/acssuschemeng.9b00884.

Takafumi Oyama, Shingo Kobayashi, Tetsuo Okura, Shunsuke Sato, Kenji Tajima, Takuya Isono, and Toshifumi Satoh Biodegradable Compatibilizers for Poly(hydroxyalkanoate)/Poly(ε-caprolactone) Blends through Click Reactions with End-Functionalized Microbial Poly(hydroxyalkanoate)s, ACS Sustainable Chem. Eng. 2019, 7, 8, 7969-7978, DOI: 10.1021/acssuschemeng.9b00897.

Yukari Numata, Hiroyuki Kono, Akane Mori, Ryota Kishimoto, and Kenji Tajima Structural and rheological characterization of bacterial cellulose gels obtained from Gluconacetobacter genus, Food Hydrocolloids, 92, 233-239 DOI: 10.1016/j.foodhyd.2019.01.060.

Takuya Isono, Nao Kawakami, Kodai Watanabe, Kohei Yoshida, Issei Otsuka, Hiroaki Mamiya, Hajime Ito, Takuya Yamamoto, Kenji Tajima, Redouane Borsali, and Toshifumi Satoh Microphase Separation of Carbohydrate-Based Star-Block Copolymers with Sub-10 nm Periodicity, Polymer Chemistry, ASAP, DOI: 10.1039/C8PY01745J.

Kodai Watanabe, Satoshi Katsuhara, Hiroaki Mamiya, Takuya Yamamoto, Kenji Tajima, Takuya Isono, and Toshifumi Satoh Downsizing of Feature in Microphase-Separated Structures via Intramolecular Crosslinking of Block Copolymers, Chemcial Sciences, ASAP, DOI: 10.1039/C8SC05016C.

Highlighted in Synfacts 2019, 15, 492."DOI: 10.1055/s-0037-1612488"
Takuya Yamamoto, Masaaki Hosokawa, Minato Nakamura, Shin-ichiro Sato, Takuya Isono, Kenji Tajima, Toshifumi Satoh, Masamichi Sato, Yasuyuki Tezuka, Akinori Saeki, and Yoshihiro Kikkawa Synthesis, Isolation, and Properties of All Head-to-Tail Cyclic Poly(3-hexylthiophene): Fully Delocalized Exciton over the Defect-Free Ring Polymer, Macromolecules, Article ASAP, DOI: 10.1021/acs.macromol.8b01681..

Kohei Yoshida, Shunma Tanaka, Takuya Yamamoto, Kenji Tajima, Redouane Borsali, Takuya Isono, and Toshifumi Satoh Chain-End Functionalization with a Saccharide for 10 nm Microphase Separation: “Classical” PS‐b‐PMMA versus PS‐b‐PMMA-Saccharide, Macromolecules, 2018, 51 (21), pp 8870–8877, DOI: 10.1021/acs.macromol.8b02069..

Yoshinobu Mato, Kohei Honda, Kenji Tajima, Takuya Yamamoto, Takuya Isono, and Toshifumi Satoh A versatile synthetic strategy for macromolecular cages: intramolecular consecutive cyclization of star-shaped polymers, Chemical Science, ASAP, DOI: 10.1039/C8SC04006K.

Kohei Yoshida, Lin Tian, Ken Miyagi, Akiyoshi Yamazaki, Hiroaki Mamiya, Takuya Yamamoto, Kenji Tajima, Takuya Isono, and Toshifumi Satoh Facile and Efficient Modification of Polystyrene-block-poly(methyl methacrylate) for Achieving Sub-10 nm Feature Size, Macromolecules, 2018, 51 (20), 8064–8072, DOI: 10.1021/acs.macromol.8b01454.

Tomoki Shingu, Takuya Yamamoto, Kenji Tajima, Takuya Isono, and Toshifumi Satoh Synthesis of μ-ABC Tricyclic Miktoarm Star Polymer via Intramolecular Click CyclizationPolymers 2018, 10(8), 877, DOI: 10.3390/polym10080877.

Takuya Isono, Tetsuya Sasamori, Kohei Honda, Yoshinobu Mato, Takuya Yamamoto, Kenji Tajima, and Toshifumi Satoh Multicyclic Polymer Synthesis through Controlled/Living Cyclopolymerization of α,ω-Dinorbornenyl-Functionalized MacromonomersMacromolecules, 2018, 51 (10), pp 3855–3864, DOI: 10.1021/acs.macromol.8b00355.

Tatsuya Saito, Yusuke Aizawa, Takuya Yamamoto, Kenji Tajima, Takuya Isono, and Toshifumi Satoh Alkali Metal Carboxylate as an Effi cient and Simple Catalyst for RingOpening Polymerization of Cyclic Esters, Macromolecules 2018, 51, 3, 689-696, DOI: 10.1021/acs.macromol.7b02566.

Takuya Isono, Brian J. Ree, Kenji Tajima, Redouane Borsali, and Toshifumi Satoh Highly Ordered Cylinder Morphologies with 10 nm Scale Periodicity in Biomass-Based Block Copolymers, Macromolecules, 51 (2), 528-437 (2018), DOI:10.1021/acs.macromol.7b02279.

Nojima S., Fujishima A., Kato K., Ohuchi K., Shimizu N., Yonezawa K., Tajima K., Yao M. Crystal structure of the flexible tandem repeat domain of bacterial cellulose synthesis subunit C, Scientific Reports 7, Article number: 13018 (2017), DOI:10.1038/s41598-017-12530-0.
Tajima, K., Kusumoto, R., Kose, R., Kono, H., Matsushima, T., Isono, T., Yamamoto, T.,Satoh, T. One-step production of amphiphilic nano-fibrillated cellulose using a cellulose-producing bacterium, Biomacromolecules, Ahead of Print (2017), 査読有.

Yukari Numata, Hiroyuki Kono, Minato Tsuji, Kenji Tajima Structural and mechanical characterization of bacterial cellulose-polyethylene glycol diacrylate composite gels, Carbohydr. Polym., 2017, 173, 67-76, DOI: 10.1016/j.carbpol.2017.05.077.
Ryoto Tanaka, Kodai Watanabe, Takuya Yamamoto, Kenji Tajima, Takuya Isono, Toshifumi Satoh A facile strategy for manipulating micellar size and morphology through intramolecular cross-linking of amphiphilic block copolymers, Polym. Chem., 2017,8, 3647-3656, DOI: 10.1039/C7PY00646B.

Yusuke Satoh, Hirohiko Matsuno, Takuya Yamamoto, Kenji Tajima, Takuya Isono, Toshifumi Satoh Synthesis of Well-Defined Three- and Four-Armed Cage-Shaped Polymers via “Topological Conversion” from Trefoil- and Quatrefoil- Shaped Polymers, Macromolecules, 2017, 50, 97-106, DOI: 10.1021/acs.macromol.6b02316.

Watanabe, K., Tanaka, R., Takada, K., Kim, M.-J., Lee, J.-S., Tajima, K., Isono, T., Satoh, T. Intramolecular olefin metathesis as a robust tool to synthesize single-chain nanoparticles in a size-controlled manner , Polym. Chem., 2016,7, 4782-4792, DOI: 10.1039/C6PY00795C.

Kenji Tajima, Xuerong Han, Yoshiki Hashimoto, Yasuharu Satoh, Toshifumi Satoh, and Seiichi Taguchi In vitro synthesis of polyhydroxyalkanoates using thermostable acetyl-CoA synthetase, CoA transferase, and PHA synthase from thermotorelant bacteria, J. Biosci. Bioeng., in press.
H. Kono, K. Oshima, H. Hashimoto, Y. Shimizu, and K. Tajima NMR characterization of sodium carboxymethyl 1 cellulose. 2. Chemical shift 2 assignment and conformation analysis of substituent groups, Carbohydrate Polymer, 2016, 150, 241-249.
Hiroyuki Kono, Kazuhiro Oshima, Hisaho Hashimoto, Yuuichi Shimizu, Kenji Tajima NMR characterization of sodium carboxymethyl cellulose: Substituent distribution and mole fraction of monomers in the polymer chains, Carbohydrate Polymers, 2016, 146, 1-9.
Isono, Takuya; Miyachi, Kana; Satoh, Yusuke; Nakamura, Ryosuke; Zhang, Yao; Otsuka, Issei; Tajima, Kenji; Kakuchi, Toyoji; Borsali, Redouane; Satoh, Toshifumi Self-Assembly of Maltoheptaose-block-Polycaprolactone Copolymers: Carbohydrate-Decorated Nanoparticles with Tunable Morphology and Size in Aqueous Media, Macromolecules, in press.

Satoh, Y., Miyachi, K., Matsuno, H., Isono, T., Tajima, K., Kakuchi, T.,Satoh, T. Synthesis of Well-Defined Amphiphilic Star-Block and Miktoarm Star Copolyethers via t-Bu-P4-Catalyzed Ring-Opening Polymerization of Glycidyl Ethers, Macromolecules (Washington, DC, U. S.), 49 (2), 499-509 (2016).

Tajima, K., Iwamoto, K., Satoh, Y., Sakai, R., Satoh, T.,Dairi, T. Advanced functionalization of polyhydroxyalkanoate via the UV-initiated thiol-ene click reaction, Appl. Microbiol. Biotechnol., 2016, 100, 4375-4383..
Y., Numata; S., Masaki; K., Tajima, Mechanical Properties of a Bacterial Cellulose/Polyethylene Glycol Gel with a Peripheral Region Cross-Linked by Polyethylene Glycol Diacrylate, Polym. J., 2015, 48, 317-321..
Ju, Fang; Shin, Kawano; Kenji, Tajima; Tetsuo, Kondo, In Vivo Curdlan/Cellulose Bionanocomposite Synthesis by Genetically Modified Gluconacetobacter xylinus, Biomacromolecules, 2015, 16, 3154?3160.

Tatsuya, Saito; Yusuke, Aizawa; Kenji, Tajima; Takuya, Isono; Toshifumi, Satoh, Organophosphate-catalyzed bulk ring-opening polymerization as an environmentally benign route leading to block copolyesters, end-functionalized polyesters, and polyester-based polyurethane, Polym. Chem., 2015, 6, 4374-4384.

Isono, T., Asai, S., Satoh, Y., Takaoka, T., Tajima, K., Kakuchi, T., Satoh, T., Controlled/Living Ring-Opening Polymerization of Glycidylamine Derivatives Using t-Bu-P4/Alcohol Initiating System Leading to Polyethers with Pendant Primary, Secondary, and Tertiary Amino Groups, Macromolecules, 48 (10), 3217-3229 (2015).

Yukari, Numataa; Tadanori, Sakata; Hidemitsu, Furukawa; Kenji, Tajima; Bacterial cellulose gels with high mechanical strength, Mater. Sci. Eng. C 2015, 47, 57?62.

Isono, T., Kondo, Y., Ozawa, S., Chen, Y., Sakai, R., Sato, S.-i., Tajima, K., Kakuchi, T., Satoh, T., Stereoblock-like Brush Copolymers Consisting of Poly(L-lactide) and Poly(D-lactide) Side Chains along Poly(norbornene) Backbone: Synthesis, Stereocomplex Formation, and Structure-Property Relationship, Macromolecules, 47 (20), 7118-7128 (2014).

Inoue, K. Takadono, R. Nishiyama, K. Tajima, T. Kobayashi, T. Ojima, Characterization of an Alginate Lyase, FlAlyA, from Flavobacterium sp. Strain UMI-01 and Its Expression in Escherichia coli., Mar. Drugs 12, 4693-4712 (2014).
X. Han, Y. Satoh. Y. Kuriki, T. Seino, S. Fujita, T. Suda, T. Kobayashi, and K. Tajima*, Polyhydroxyalkanoate production by using a novel bacterium Massilia sp. UMI-21 isolated from seaweed, and molecular cloning of its polyhydroxyalkanoate synthase gene, J. Biosci. Bioeng. 118, 514-519 (2014).
T. Isono, Y. Satoh, K. Miyachi, Y. Chen, S.-i. Sato, K. Tajima, T. Satoh, and T. Kakuchi, Synthesis of Linear, Cyclic, Figure-Eight-Shaped, and Tadpole-Shaped Amphiphilic Block Copolyethers via t-Bu-P4-Catalyzed Ring-Opening Polymerization of Hydrophilic and Hydrophobic Glycidyl Ethers, Macromolecules 47 (9), 2853-2863 (2014).

Ryota Kose, Naoki Sunagawa, Makoto Yoshida, Kenji Tajima, One-step production of nanofibrillated bacterial cellulose (NFBC) from waste glycerol using Gluconacetobacter intermedius NEDO-01, Cellulose, 20, 2971-2979 (2013).
Takaaki Fujiwara, Keisuke Komoda, Naofumi Sakurai, Kenji Tajima, Isao Tanaka, Min Yao, The c-di-GMP recognition mechanism of the PilZ domain of bacterial cellulose synthase subunit A, Biochem. Biophys. Res. Commun., 431, 802-807 (2013).

Naoki Sunagawa, Takaaki Fujiwara, Takanori Yoda, Shin Kawano, Yasuharu Satoh, Min Yao, Kenji Tajima, and Tohru Dairi, Cellulose complementing factor (Ccp) is a new member of the cellulose synthase complex (terminal complex) in Acetobacter xylinum, J. Biosci. Bioeng., 115(6), 607-612 (2013).